The photos you provided may be used to improve Bing image processing services.
Privacy Policy
|
Terms of Use
Can't use this link. Check that your link starts with 'http://' or 'https://' to try again.
Unable to process this search. Please try a different image or keywords.
Try Visual Search
Search, identify objects and text, translate, or solve problems using an image
Drag one or more images here,
upload an image
or
open camera
Drop images here to start your search
To use Visual Search, enable the camera in this browser
All
Search
Images
Inspiration
Create
Collections
Videos
Maps
News
More
Shopping
Flights
Travel
Notebook
Top suggestions for Differential Equations Solver
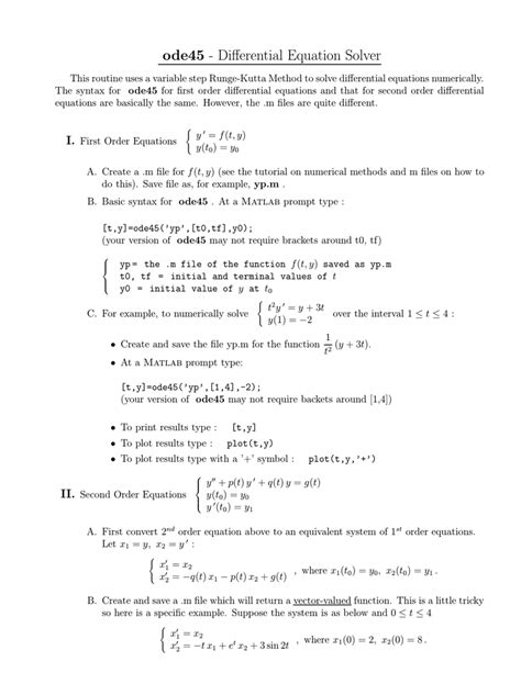
MATLAB
Differential Equation
Differential Equation
Calculator
Differential Equation
Graph
Laplace Transform Solve
Differential Equation
Order
Differential Equation
General Solution
Differential Equation
Calculus and
Differential Equations
Simple
Differential Equations
Formula of
Differential Equation
How to Solve an Exact
Differential Equation
Non-Homogeneous
Differential Equation
Difference
Equation Solver
Ordinary
Differential Equation Solver
Solve Second Order
Differential Equation
Bernoulli
Differential Equation
What Is
Differential Equations
Nonlinear
Differential Equation
Basic
Differential Equations
Particular Solution
Differential Equation
Diff
Equation Solver
Wolfram|Alpha
Differential Equation Solver
Ode45
Differential Equation Solver
with Steps
Differential Equations
Questions
Differential Equation
Graphing Calculator
Differential Equation
System Solver
Solving First Order
Differential Equations
How to Do
Differential Equations
Differential Equations
Cheat Sheet
2nd Order
Differential Equation
Cauchy-Euler
Differential Equation
Differential Equations
Chart
Differential Equation
Tutorial
Differential Equations
Problems
Steps to Solve Linear
Differential Equation
What Are
Differential Equations
Second-Degree
Differential Equation Solver
Differential Equation
Solution Forms
Methods to Solve
Differential Equations
Solve
Ode
Differential Equation Solver
Clip Art
Separable
Equations
A Level
Differential Equations
Differential Equation Solver
Icon
How to Calculate
Differential Equation
Parts of a
Differential Equation
Exactness
Differential Equations
Differential
Math Calculator
Differential Equations
Symbols
Differential
Leveling Equation
Explore more searches like Differential Equations Solver
Laplace
Transform
Integrating
Factor
Linear vs
Nonlinear
Formula
Sheet
Cheat
Sheet
Particular
Solution
Bifurcation
Diagram
Euler
Equation
Phase
Plane
Convolution
Integral
Linear
Method
Phase
Diagram
Classical
Mechanics
Solution
Types
La Place
Method
Algebra
2
Engineering
Calculus
FlowChart
Visual
Representation
Integrating Factor
Formula
Math
Types
Ordinary
Higher-Order
1
Transient
Terms
Common
Hard
Examples
Linear
Worksheet
Easy
Partial
Solution
Examples
Separable
People interested in Differential Equations Solver also searched for
Wolfram|Alpha
System First
Order
Difference
Bernoulli
Equation
Integration
Different
Types
Second Order
Cheat Sheet
2nd
Table
Ordinary
Partial
People interested in Differential Equations Solver also searched for
Calculus
Linear
Algebra
Mathematical
Analysis
Geometry
Probability
Mathematical
Physics
Partial Differential
Equation
Linear Differential
Equation
Complex Differential
Equation
Universal Differential
Equation
Stochastic Differential
Equation
Logistic
Function
Homogeneous Differential
Equation
Delay Differential
Equation
Laplace Transform Applied
to Differential Equations
Differential Algebraic
Equation
Autoplay all GIFs
Change autoplay and other image settings here
Autoplay all GIFs
Flip the switch to turn them on
Autoplay GIFs
Image size
All
Small
Medium
Large
Extra large
At least... *
Customized Width
x
Customized Height
px
Please enter a number for Width and Height
Color
All
Color only
Black & white
Type
All
Photograph
Clipart
Line drawing
Animated GIF
Transparent
Layout
All
Square
Wide
Tall
People
All
Just faces
Head & shoulders
Date
All
Past 24 hours
Past week
Past month
Past year
License
All
All Creative Commons
Public domain
Free to share and use
Free to share and use commercially
Free to modify, share, and use
Free to modify, share, and use commercially
Learn more
Clear filters
SafeSearch:
Moderate
Strict
Moderate (default)
Off
Filter
MATLAB
Differential Equation
Differential Equation
Calculator
Differential Equation
Graph
Laplace Transform Solve
Differential Equation
Order
Differential Equation
General Solution
Differential Equation
Calculus and
Differential Equations
Simple
Differential Equations
Formula of
Differential Equation
How to Solve an Exact
Differential Equation
Non-Homogeneous
Differential Equation
Difference
Equation Solver
Ordinary
Differential Equation Solver
Solve Second Order
Differential Equation
Bernoulli
Differential Equation
What Is
Differential Equations
Nonlinear
Differential Equation
Basic
Differential Equations
Particular Solution
Differential Equation
Diff
Equation Solver
Wolfram|Alpha
Differential Equation Solver
Ode45
Differential Equation Solver
with Steps
Differential Equations
Questions
Differential Equation
Graphing Calculator
Differential Equation
System Solver
Solving First Order
Differential Equations
How to Do
Differential Equations
Differential Equations
Cheat Sheet
2nd Order
Differential Equation
Cauchy-Euler
Differential Equation
Differential Equations
Chart
Differential Equation
Tutorial
Differential Equations
Problems
Steps to Solve Linear
Differential Equation
What Are
Differential Equations
Second-Degree
Differential Equation Solver
Differential Equation
Solution Forms
Methods to Solve
Differential Equations
Solve
Ode
Differential Equation Solver
Clip Art
Separable
Equations
A Level
Differential Equations
Differential Equation Solver
Icon
How to Calculate
Differential Equation
Parts of a
Differential Equation
Exactness
Differential Equations
Differential
Math Calculator
Differential Equations
Symbols
Differential
Leveling Equation
768×1024
scribd.com
Differential Equation Solv…
768×1024
scribd.com
Ordinary Differential Eq…
1200×600
github.com
GitHub - AndreJarl/DifferentialEquationsSolver: …
1020×1589
differential-equations-solver.en.softonic.com
Differential equations solv…
Related Products
Differential Equation …
Ordinary Differenti…
Partial Differenti…
1280×720
fity.club
Differential Equations Solver
768×1024
scribd.com
Ordinary Differential Equat…
1200×1200
solverer.com
Solution manual to „Ordinary Differential Eq…
1200×600
github.com
GitHub - thomasdewitt/Differential-Equation-Solver
3556×1864
digitaled.in
Ordinary Differential Equations
1920×1080
fity.club
Differential Equation Solver
1280×720
fity.club
Differential Equation Solver
1777×1095
fity.club
Differential Equation Solver
461×300
fity.club
Differential Equation Solver
People interested in
Differential Equations Solver
also searched for
Calculus
Linear Algebra
Mathematical Analysis
Geometry
Probability
Mathematical Physics
Partial Differential E
…
Linear Differential E
…
Complex Differential E
…
Universal Differential E
…
Stochastic Differential E
…
Logistic Function
422×318
tinspireapps.com
Differential Equations Solver - Ti-Nspire CX Calculator - www.TiN…
422×318
tinspireapps.com
Differential Equations Solver - Ti-Nspire CX Calculator - www.TiN…
646×325
tinspireapps.com
Differential Equations Solver - Ti-Nspire CX Calculator - www.TiNspireApps.com - Stepwise M…
3200×2400
www.wikihow.com
4 Ways to Solve Differential Equations - wikiHow
1024×768
fity.club
Differential Equation Solver
1024×768
fity.club
Differential Equation Solver
1280×720
fity.club
Differential Equation Solver
5000×2625
wethestudy.com
Solving Differential Equations - Calculus | WeTheStudy
2083×1104
fity.club
Differential Equation Solver
760×706
fity.club
Differential Equation Solver
474×239
fity.club
Differential Equation Solver
791×1024
fity.club
Differential Equation Solver
1366×768
fity.club
Differential Equation Solver
768×1024
scribd.com
Ordinary Differential Equ…
1280×720
fity.club
Differential Equation Solver
1177×488
fity.club
Differential Equation Solver
Explore more searches like
Differential Equations
Solver
Laplace Transform
Integrating Factor
Linear vs Nonlinear
Formula Sheet
Cheat Sheet
Particular Solution
Bifurcation Diagram
Euler Equation
Phase Plane
Convolution Integral
Linear Method
Phase Diagram
1536×1024
learnfast.ai
LearnFast AI Differential Equation Solver with Steps Online
1170×813
learnfast.ai
LearnFast AI Differential Equation Solver with Steps Online
1000×470
geeksforgeeks.org
Ordinary Differential Equations | GeeksforGeeks
902×681
fity.club
Differential Equation Solver
1269×593
tessshebaylo.com
Systems Of First Order Linear Equations Solver - Tessshebaylo
1768×974
storage.googleapis.com
Differential Equation Solver C++ at Hillary Mccarty blog
Some results have been hidden because they may be inaccessible to you.
Show inaccessible results
Top suggestions for
Differential Equations Solver
MATLAB Differential E
…
Differential Equation Cal
…
Differential Equation Gra
…
Laplace Transform S
…
Order Differential E
…
General Solution Diff
…
Calculus and Differential E
…
Simple Differential E
…
Formula of Differential E
…
How to Solve an Exact Diff
…
Non-Homogeneou
…
Difference Equation Sol
…
Report an inappropriate content
Please select one of the options below.
Not Relevant
Offensive
Adult
Child Sexual Abuse
Feedback