The photos you provided may be used to improve Bing image processing services.
Privacy Policy
|
Terms of Use
Can't use this link. Check that your link starts with 'http://' or 'https://' to try again.
Unable to process this search. Please try a different image or keywords.
Try Visual Search
Search, identify objects and text, translate, or solve problems using an image
Drag one or more images here,
upload an image
or
open camera
Drop images here to start your search
To use Visual Search, enable the camera in this browser
All
Search
Images
Inspiration
Create
Collections
Videos
Maps
News
More
Shopping
Flights
Travel
Notebook
Top suggestions for How to Find Potential Function
Potential Function
Potential Function
of a Vector Field
How to Find Potential Function
Calc 3
What Is a
Potential Function
Scalar
Potential Function
Potential Function
for Vector Field
Conservative
Function
Calculating
Potential Function
How to Find a Potential Function
of F
Potential Function
Theory
Potential
Gradient
How to Find Electric Potential
From Electric Field
Finding a
Potential Function
Potential
Gradient Formula
Potential Function
Method
Behavioural
Potential Function
How to Find Potential Function
of a Velocity Field
Potential Function
of Force
Potential Function
Planning
Potential as a Function
of R
Potential Function
Equation
How to Find Potential
Fuction of Vector
Integral of
Potential Energy
How to Find Potential
From Given Green Function
How to
Get Electric Field From Potential
Potential
Free Contact
Potential Function
Calculus 3
Potential Function
Fluid Mechanics
How to Find Potential
Funciton with 3 Variabels
Given a Potential Function How
Do You Find the U and V Componets
Constant Vector
Field
Stream Function
and Velocity Potential
Potential Function
Calculator
Potential Function
in Catastrophe
How to Find Potential
Energy of a Compund
Potential Function
Attractive Function
How to Find Potential Function
Using Integral Method
How to
Check If a Vector Field Is Conservative
Potential
Difference Formula
Potential Function
Factorization
Potential
Energy Graph
Applications for the Step
Potential Function
Potential Function
Example
Use Potential Function to Find
FDR
General Steps to Solve for a
Potential Function
Potential Function
Stress
Work Function
Contact Potential
Example of Any Periodic
Potential Function
How to Find
Potenital Functions for Fields
Multi Body Bonding
Potential Function
Refine your search for How to Find Potential Function
Calc
3
Velocity
Field
Vector Field
Calculus
For
Field
Explore more searches like How to Find Potential Function
Values
Graph
Domain
Range
Inverse
Quadratic
Equation
Graph
Domain
Radical
Domain
Fraction
Do
You
Domain
Root
Domain
Polynomial
Inverse
Linear
Intercepts
Quadratic
Domain Square
Root
Autoplay all GIFs
Change autoplay and other image settings here
Autoplay all GIFs
Flip the switch to turn them on
Autoplay GIFs
Image size
All
Small
Medium
Large
Extra large
At least... *
Customized Width
x
Customized Height
px
Please enter a number for Width and Height
Color
All
Color only
Black & white
Type
All
Photograph
Clipart
Line drawing
Animated GIF
Transparent
Layout
All
Square
Wide
Tall
People
All
Just faces
Head & shoulders
Date
All
Past 24 hours
Past week
Past month
Past year
License
All
All Creative Commons
Public domain
Free to share and use
Free to share and use commercially
Free to modify, share, and use
Free to modify, share, and use commercially
Learn more
Clear filters
SafeSearch:
Moderate
Strict
Moderate (default)
Off
Filter
Potential Function
Potential Function
of a Vector Field
How to Find Potential Function
Calc 3
What Is a
Potential Function
Scalar
Potential Function
Potential Function
for Vector Field
Conservative
Function
Calculating
Potential Function
How to Find a Potential Function
of F
Potential Function
Theory
Potential
Gradient
How to Find Electric Potential
From Electric Field
Finding a
Potential Function
Potential
Gradient Formula
Potential Function
Method
Behavioural
Potential Function
How to Find Potential Function
of a Velocity Field
Potential Function
of Force
Potential Function
Planning
Potential as a Function
of R
Potential Function
Equation
How to Find Potential
Fuction of Vector
Integral of
Potential Energy
How to Find Potential
From Given Green Function
How to
Get Electric Field From Potential
Potential
Free Contact
Potential Function
Calculus 3
Potential Function
Fluid Mechanics
How to Find Potential
Funciton with 3 Variabels
Given a Potential Function How
Do You Find the U and V Componets
Constant Vector
Field
Stream Function
and Velocity Potential
Potential Function
Calculator
Potential Function
in Catastrophe
How to Find Potential
Energy of a Compund
Potential Function
Attractive Function
How to Find Potential Function
Using Integral Method
How to
Check If a Vector Field Is Conservative
Potential
Difference Formula
Potential Function
Factorization
Potential
Energy Graph
Applications for the Step
Potential Function
Potential Function
Example
Use Potential Function to Find
FDR
General Steps to Solve for a
Potential Function
Potential Function
Stress
Work Function
Contact Potential
Example of Any Periodic
Potential Function
How to Find
Potenital Functions for Fields
Multi Body Bonding
Potential Function
700×370
Chegg
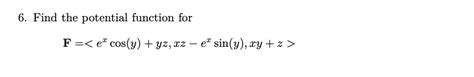
Solved Find a potential function for F. The potential | Chegg.com
749×454
researchgate.net
Potential function diagram. | Download Scientific Diagram
454×454
researchgate.net
Potential function diagram. | Downloa…
967×273
chegg.com
Solved find potential function | Chegg.com
Related Products
Potential Function Th…
Potential Function Ex…
Scalar Potential Fu…
934×412
Chegg
Solved Finding Potential Functions Find a potential function | Chegg.com
320×320
researchgate.net
Potential energy function... | Downl…
499×499
researchgate.net
Illustration of the potential function. …
716×150
chegg.com
Solved Finding Potential Functions Find a potential | Chegg.com
320×149
math.stackexchange.com
How to find potential function for any game? - Mathemati…
703×158
chegg.com
Solved Finding Potential FunctionsIn Exercises 7-12, find a | Chegg.com
560×420
Stack Exchange
homework and exercises - Potential function - numerical …
663×274
chegg.com
Solved Finding Potential Functions In Exercises 7-12, find a | Chegg.com
Refine your search for
How to Find Potential Function
Calc 3
Velocity Field
Vector Field Calculus
For Field
1024×203
Chegg
Solved 2. Find the potential funetion f the potential | Chegg.com
650×291
researchgate.net
Potential field and Potential function | Download Scientific Diagram
700×283
chegg.com
Solved Finding Potential Functions In Exercises 7-12, find a | Chegg.com
640×640
researchgate.net
The potential function. | Download Scientific Diag…
1024×768
slideserve.com
PPT - Potential Function (part 1/2) PowerPoint Presentation, free dow…
600×581
researchgate.net
Potential function in the first case. | Download Scientifi…
255×206
Chegg
Solved Find the potential function f for the field F. …
608×519
researchgate.net
The potential function with different parameters. The pote…
568×206
chegg.com
Solved Find the potential function for F. F= (-) х х" + уб” | Chegg.com
902×148
chegg.com
Solved 6. Find the potential function for F= | Chegg.com
542×350
chegg.com
Solved Find a potential function for | Chegg.com
320×320
researchgate.net
Potential function examples | Download Scientific Diagram
2046×1089
Chegg
Solved Find a potential function for F. F = 4x/y i + 3 - | Chegg.com
1024×490
numerade.com
Find a potential function for the given vector field. 𝐆(x, y)=𝐢-𝐣 | Numerade
630×580
researchgate.net
The visualisation of the potential function (X). | …
Explore more searches like
How
to
Find
Potential
Function
Values Graph
Domain Range
Inverse Quadratic
Equation Graph
Domain Radical
Domain Fraction
Do You
Domain Root
Domain Polynomial
Inverse Linear
Intercepts Quadratic
Domain Square Root
1221×1080
chegg.com
Solved Problems 23-25: Find the potential function f for t…
640×640
researchgate.net
The diagram of the potential function. | Do…
1223×261
chegg.com
Solved Above you will find the graph of Potential V as a | Chegg.com
761×301
chegg.com
Solved Find a potential function for F. | Chegg.com
994×414
chegg.com
Solved Find a potential function for F. | Chegg.com
850×171
researchgate.net
Parameters of the potential function. | Download Scientific Diagram
1920×589
chegg.com
Solved Find a potential function for F. | Chegg.com
960×467
chegg.com
Solved 11. Find a potential function f for the field F = | Chegg.com
Some results have been hidden because they may be inaccessible to you.
Show inaccessible results
Report an inappropriate content
Please select one of the options below.
Not Relevant
Offensive
Adult
Child Sexual Abuse
Feedback