The photos you provided may be used to improve Bing image processing services.
Privacy Policy
|
Terms of Use
Can't use this link. Check that your link starts with 'http://' or 'https://' to try again.
Unable to process this search. Please try a different image or keywords.
Try Visual Search
Search, identify objects and text, translate, or solve problems using an image
Drag one or more images here,
upload an image
or
open camera
Drop images here to start your search
To use Visual Search, enable the camera in this browser
All
Search
Images
Inspiration
Create
Collections
Videos
Maps
News
More
Shopping
Flights
Travel
Notebook
Top suggestions for Practice Maths Integrations
Common Integration
Formulas
Maths Integration
Formulas
Integration
Formula Chart
Integration
Calculus
Integration
Formulas PDF
Integral
Formulas
Integration
Trig Identities
Integration
Rules Chart
Definite Integration
Formulas
Intégration
Table
Integration
Meaning
Basic Integration
Formula
Partial
Integration
Formula for
Integration
Integrating
Fractions
Integration
Equation
Quotient Rule
Integration
Integration
All Formulas
Integration
by Parts Formula
Integration
Methods
Integration
a Level Maths
Exponential
Integration
Calculus
Problems
Integration
Techniques
Integration
Worksheet
A Level Maths Integration
Cheat Sheet
How to
Integrate
Trig Substitution
Integration
Integration
Constant
Integral
Symbol
Integral Math
Symbol
Numerical
Integration
Integration
Differentiation
Integration
Class 12 Maths
Integral
1/X
Basic Trigonometric
Integration Formulas
Integration
of Exponents
Triple
Integral
Integration
Examples
Trig Function
Integrals
Integration
Mathematics
Integration
Theory
Types of
Integration Maths
Integrated Math
Program
Integration
Add Math
Tabular Integration
by Parts
Integration
by Parts Form
Integration
Questions
Simple Integration
Examples
Integral
Equations
Explore more searches like Practice Maths Integrations
Answer
Key
Life
Application
Rearrange
Order
AP Calculus
AB
Clinical
Area
For Signals
Systems
Recognition
Computer
Sheet Class 11 Mathematics
Tools PDF
Exponential
Functions
People interested in Practice Maths Integrations also searched for
Ready
Icon
Formula
Sheet
Hub
Icon
Black
White
Information
Clip Art
Line
Icon
Theory
Examples
Math
Background
New
Technology
Logo or
Symbol
Clip
Art
Iconography
Parts.
Examples
Jung
Clip Art
System
Sign
PNG
Parts
Diagram
Rotation
Political
Cartoon
Silhouette
Icon-Icon
Images People
Integrating
Vertical
Line
UV
Mu
Theta
Autoplay all GIFs
Change autoplay and other image settings here
Autoplay all GIFs
Flip the switch to turn them on
Autoplay GIFs
Image size
All
Small
Medium
Large
Extra large
At least... *
Customized Width
x
Customized Height
px
Please enter a number for Width and Height
Color
All
Color only
Black & white
Type
All
Photograph
Clipart
Line drawing
Animated GIF
Transparent
Layout
All
Square
Wide
Tall
People
All
Just faces
Head & shoulders
Date
All
Past 24 hours
Past week
Past month
Past year
License
All
All Creative Commons
Public domain
Free to share and use
Free to share and use commercially
Free to modify, share, and use
Free to modify, share, and use commercially
Learn more
Clear filters
SafeSearch:
Moderate
Strict
Moderate (default)
Off
Filter
Common Integration
Formulas
Maths Integration
Formulas
Integration
Formula Chart
Integration
Calculus
Integration
Formulas PDF
Integral
Formulas
Integration
Trig Identities
Integration
Rules Chart
Definite Integration
Formulas
Intégration
Table
Integration
Meaning
Basic Integration
Formula
Partial
Integration
Formula for
Integration
Integrating
Fractions
Integration
Equation
Quotient Rule
Integration
Integration
All Formulas
Integration
by Parts Formula
Integration
Methods
Integration
a Level Maths
Exponential
Integration
Calculus
Problems
Integration
Techniques
Integration
Worksheet
A Level Maths Integration
Cheat Sheet
How to
Integrate
Trig Substitution
Integration
Integration
Constant
Integral
Symbol
Integral Math
Symbol
Numerical
Integration
Integration
Differentiation
Integration
Class 12 Maths
Integral
1/X
Basic Trigonometric
Integration Formulas
Integration
of Exponents
Triple
Integral
Integration
Examples
Trig Function
Integrals
Integration
Mathematics
Integration
Theory
Types of
Integration Maths
Integrated Math
Program
Integration
Add Math
Tabular Integration
by Parts
Integration
by Parts Form
Integration
Questions
Simple Integration
Examples
Integral
Equations
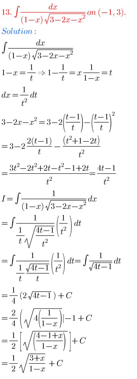
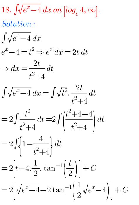
768×1024
scribd.com
Integration Practice | PDF | Equations | Ordinary Differe…
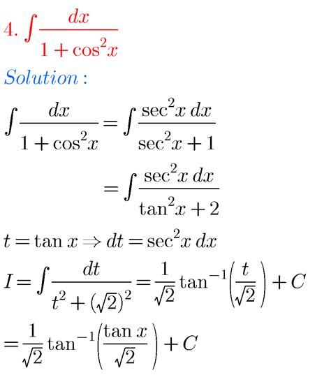
800×400
byjus.com
Continuous Integration in Maths with Examples and T…
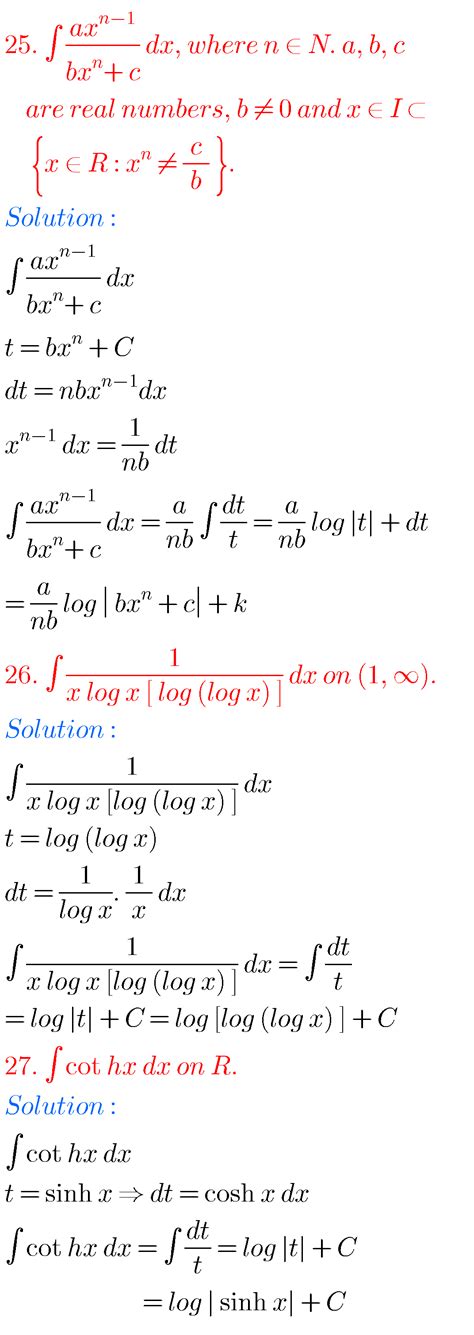
1117×1684
mathsglow.com
Intermediate Maths Solutions for Integration - MATHS GL…
Related Searches
Integration Practice
Answer
Key
Integration
Life
Application
Practice
Rearrange
Order
of
Integration Practice
AP
Calculus
AB
Integration Practice
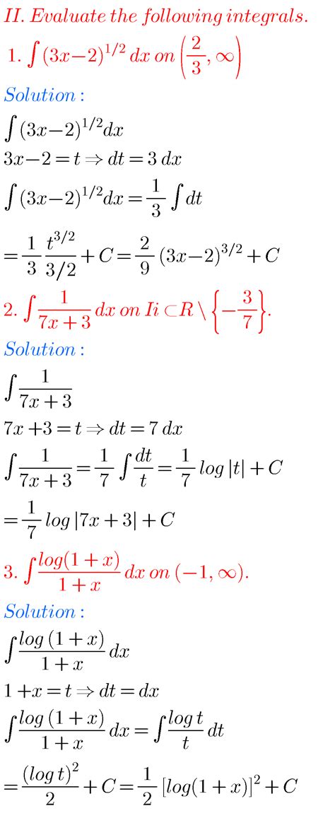
1014×3414
mathsglow.com
Intermediate Maths Solutions for Integration - MATHS GL…
Related Searches
Integration
Ready
Icon
Integration
Formula
Sheet
Integration
Hub
Icon
Integration
Black
and
White
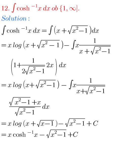
992×1113
mathsglow.com
Intermediate Maths Solutions for Integration - MATHS GL…
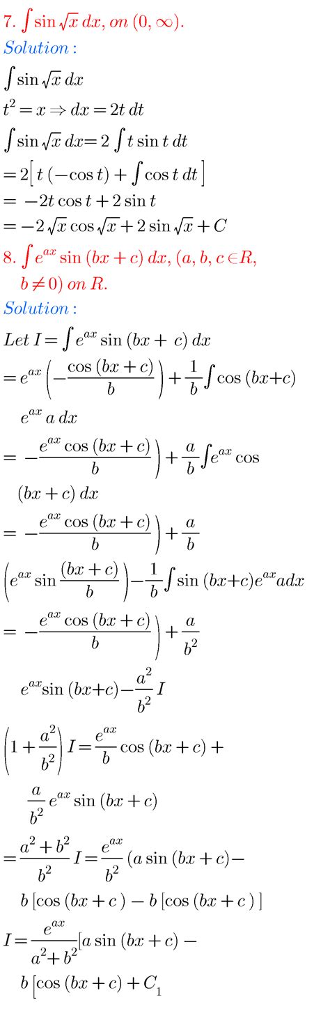
1130×3214
mathsglow.com
Intermediate Maths Solutions for Integration - MATHS GL…
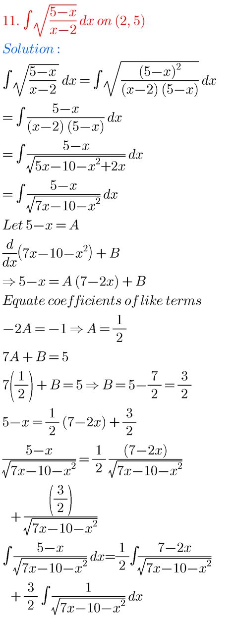
1100×3133
mathsglow.com
Intermediate Maths solutions for Integration - MATHS GL…
768×1024
scribd.com
36 Integration Practice Worksheet | PDF
1042×2313
mathsglow.com
Intermediate Maths Solutions for Integration - MATHS GL…
1200×2787
mathsglow.com
Intermediate Maths Solutions for Integration - MATHS GL…
1055×1369
mathsglow.com
Intermediate Maths Solutions for Integration - MATHS GL…
1062×1270
mathsglow.com
Intermediate Maths Solutions for Integration - MATHS GL…
993×2748
mathsglow.com
Intermediate Maths Solutions for Integration - MATHS GL…
1042×2560
mathsglow.com
Intermediate Maths Solutions for Integration - MATHS GL…
1321×1217
igcsemaths.in
Integration | Cambridge IGCSE® Mathematics
768×1024
scribd.com
Basic Integration Questions for Practice | PDF | Mathematics
1014×2205
mathsglow.com
Intermediate Maths Solutions for Integration - MATHS GL…
1105×2734
mathsglow.com
Intermediate Maths Solutions for Integration - MATHS GL…
1122×2394
mathsglow.com
Intermediate Maths Solutions for Integration - MATHS GL…
1083×1864
mathsglow.com
Intermediate Maths Solutions for Integration - MATHS GL…
1128×3457
mathsglow.com
Intermediate Maths Solutions for Integration - MATHS GL…
Related Searches
Clinical
Practice Integration
Area
Integration Practice
Integration Practice
for
Signals
and
Systems
Integration
by
Recognition
Practice
401×967
studypool.com
SOLUTION: Integrations math practice quiz - Studypool
992×1979
mathsglow.com
Intermediate Maths Solutions for Integration - MATHS GL…
1116×2700
mathsglow.com
Intermediate Maths Solutions for Integration - MATHS GL…
1022×1186
mathsglow.com
Intermediate Maths Solutions for Integration - MATHS GL…
1058×2509
mathsglow.com
Intermediate Maths Solutions for Integration - MATHS GL…
1093×3223
mathsglow.com
Intermediate Maths Solutions for Integration - MATHS GL…
1019×2321
mathsglow.com
Intermediate Maths Solutions for Integration - MATHS GL…
Related Products
Integration Math Book
Integral Table Poster
By Parts Formula Mug
Calculus Flash Cards
554×776
byjus.com
Integration in Maths - Definition, Formulas and Ty…
994×1149
mathsglow.com
Intermediate Maths Solutions for Integration - MATHS GL…
1034×1997
mathsglow.com
Intermediate Maths Solutions for Integration - MATHS GL…
1072×3021
mathsglow.com
Intermediate Maths Solutions for Integration - MATHS GL…
1042×1538
mathsglow.com
Intermediate Maths Solutions for Integration - MATHS GL…
1200×2443
mathsglow.com
Intermediate Maths Solutions for Integration - MATHS GL…
1027×2733
mathsglow.com
Intermediate Maths Solutions for Integration - MATHS GL…
Some results have been hidden because they may be inaccessible to you.
Show inaccessible results
Report an inappropriate content
Please select one of the options below.
Not Relevant
Offensive
Adult
Child Sexual Abuse
Feedback