The photos you provided may be used to improve Bing image processing services.
Privacy Policy
|
Terms of Use
Can't use this link. Check that your link starts with 'http://' or 'https://' to try again.
Unable to process this search. Please try a different image or keywords.
Try Visual Search
Search, identify objects and text, translate, or solve problems using an image
Drag one or more images here,
upload an image
or
open camera
Drop images here to start your search
To use Visual Search, enable the camera in this browser
All
Search
Images
Inspiration
Create
Collections
Videos
Maps
News
More
Shopping
Flights
Travel
Notebook
Top suggestions for Case Loop Pseudocode
Repeat until
Loop Pseudocode
For Loop Pseudocode
Java
Pseudocode
Nested for Loop
Sample of
Pseudocode
Do While
Pseudocode
Pseudocode
Guide
Pseudocode
C++
Case Pseudocode
Do While
Loop Pseudocode Examples
Flowchart and
Pseudocode Examples
Pseudocode
Looping
Pseudocode
Function
While Loop
Using Pseudocode
Algorithm Flowchart
Pseudocode
Writing
Pseudocode
Pseudocode
Ex
Pseudocode
Repetition
Pseudocode
Coding
Switch
Pseudocode
Pseudocode
Game
Nested Loop
Example
Array
Pseudocode
Conditional
Pseudocode
Pseudocode
Structure
Pseudocode
Symbols
Pseudocode
for Python
Pseudocode
Computer Science
Indefinite
Loop Pseudocode
Pseudocode
Template
Write Pseudocode
Examples
Pseudocode
Shapes
For Loop
IN R
Example of
Pseudocode Programming
End While
Pseudocode
Counter in
Pseudocode
Pseudocode
Diagram
How to Write a for
Loop in Pseudocode
Visual Basic
Pseudocode
Boolean in
Pseudocode
Simple Pseudocode
Examples
Pseudocode
vs Flowchart
Pseudocode
For Dummies
How to Make Forever
Loop in Pseudocode
Pseudocode Loop
Exercises
Easy Pseudocode
Examples
Wwhile
Loop Pseudocode
Sequence Pseudocode
Example
Pseudocode
If Examples
Repeat until
Loop Pseudocode Exampes
How to Create
Pseudocode
Explore more searches like Case Loop Pseudocode
Automatic
Counter
For
While
How
Write
Count
Controlled
How
Create
How Do
For
C++
While
Fixed
For
Unbounded
How Write
For
Sequential
Validation
Nested
Single
Infinite
Text
Case
Mice
Pretest
People interested in Case Loop Pseudocode also searched for
Assembly
TSP
CS
Repeat
Interest
Rate
Creating
PreCondition
Example
Chart
Writing
While
Using
For
Autoplay all GIFs
Change autoplay and other image settings here
Autoplay all GIFs
Flip the switch to turn them on
Autoplay GIFs
Image size
All
Small
Medium
Large
Extra large
At least... *
Customized Width
x
Customized Height
px
Please enter a number for Width and Height
Color
All
Color only
Black & white
Type
All
Photograph
Clipart
Line drawing
Animated GIF
Transparent
Layout
All
Square
Wide
Tall
People
All
Just faces
Head & shoulders
Date
All
Past 24 hours
Past week
Past month
Past year
License
All
All Creative Commons
Public domain
Free to share and use
Free to share and use commercially
Free to modify, share, and use
Free to modify, share, and use commercially
Learn more
Clear filters
SafeSearch:
Moderate
Strict
Moderate (default)
Off
Filter
Repeat until
Loop Pseudocode
For Loop Pseudocode
Java
Pseudocode
Nested for Loop
Sample of
Pseudocode
Do While
Pseudocode
Pseudocode
Guide
Pseudocode
C++
Case Pseudocode
Do While
Loop Pseudocode Examples
Flowchart and
Pseudocode Examples
Pseudocode
Looping
Pseudocode
Function
While Loop
Using Pseudocode
Algorithm Flowchart
Pseudocode
Writing
Pseudocode
Pseudocode
Ex
Pseudocode
Repetition
Pseudocode
Coding
Switch
Pseudocode
Pseudocode
Game
Nested Loop
Example
Array
Pseudocode
Conditional
Pseudocode
Pseudocode
Structure
Pseudocode
Symbols
Pseudocode
for Python
Pseudocode
Computer Science
Indefinite
Loop Pseudocode
Pseudocode
Template
Write Pseudocode
Examples
Pseudocode
Shapes
For Loop
IN R
Example of
Pseudocode Programming
End While
Pseudocode
Counter in
Pseudocode
Pseudocode
Diagram
How to Write a for
Loop in Pseudocode
Visual Basic
Pseudocode
Boolean in
Pseudocode
Simple Pseudocode
Examples
Pseudocode
vs Flowchart
Pseudocode
For Dummies
How to Make Forever
Loop in Pseudocode
Pseudocode Loop
Exercises
Easy Pseudocode
Examples
Wwhile
Loop Pseudocode
Sequence Pseudocode
Example
Pseudocode
If Examples
Repeat until
Loop Pseudocode Exampes
How to Create
Pseudocode
768×1024
scribd.com
o-level-cs - pseudocode - i…
1024×388
fity.club
Pseudocode For Loop
474×222
fity.club
Pseudocode For Loop
1152×720
fity.club
Pseudocode For Loop
850×374
fity.club
Pseudocode For Loop
260×222
Stack Exchange
solution verification - Loop in a pseudocode - Mathe…
720×540
fity.club
Pseudocode For Loop
1024×768
fity.club
Pseudocode For Loop
850×727
fity.club
Pseudocode For Loop
1280×720
fity.club
Pseudocode For Loop
826×802
fity.club
Pseudocode For Loop Pseudocode (Blocks)
572×349
fity.club
Pseudocode For Loop Pseudocode (Blocks)
Explore more searches like
Case
Loop Pseudocode
Automatic Counter
For While
How Write
Count Controlled
How Create
How Do For
C++ While
Fixed
For
Unbounded
How Write For
Sequential
768×1024
scribd.com
Pseudocode Practice For Loo…
618×576
chegg.com
Solved The first loop to code is the pseudocode from th…
609×517
Stack Exchange
algorithms - Algorithmicx Nested FOR loop in pseudoc…
1200×630
moshikur.com
4.3 Pseudocode – While Loop – moshikur.com
768×1024
scribd.com
CASE Pseudocode | PDF
826×453
Stack Exchange
algorithms - How to define a for loop in pseudocode? - Mathematics Stack Exchange
1158×1638
desklib.com
Pseudocode Case Complexity
638×638
researchgate.net
Pseudo code for the implemented closed-loop …
638×1099
researchgate.net
Pseudo code for the implement…
843×699
researchgate.net
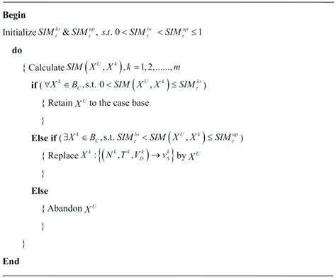
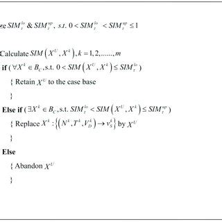
Pseudo-code for case retention and case base maintenance bas…
320×320
researchgate.net
Pseudo-code for case retention and case bas…
609×609
researchgate.net
Pseudocode for the main loop in the sampler. | D…
581×713
Chegg
Solved (15) Examine this pse…
631×573
researchgate.net
Pseudo-code of the algorithm for All-Loop-Fre…
850×202
researchgate.net
Left: pseudocode describing our algorithm. The while loop is controlled... | Download Scientific ...
850×793
researchgate.net
Pseudo-code for case evaluation and revision. | D…
850×704
researchgate.net
Pseudo code of the algorithm in Case B In Case A, all the came…
795×223
researchgate.net
Pseudocode for test case generation. | Download Scientific Diagram
756×1880
researchgate.net
Pseudocode: normal-case o…
756×1924
researchgate.net
Pseudocode for normal case w…
People interested in
Case
Loop Pseudocode
also searched for
Assembly
TSP
CS Repeat
Interest Rate
Creating
PreCondition
Example
Chart
Writing While
Using For
1003×527
autodika.com
5 Contoh Penggunaan Algoritma IF dan Case Dalam Pseudocode - Autodika
768×1024
scribd.com
LOOPS_PSEUD…
5:37
YouTube > Damian T. Gordon
Pseudocode: Iteration FOR, DO, LOOP loops
YouTube · Damian T. Gordon · 62.3K views · Sep 10, 2015
Some results have been hidden because they may be inaccessible to you.
Show inaccessible results
Report an inappropriate content
Please select one of the options below.
Not Relevant
Offensive
Adult
Child Sexual Abuse
Feedback