The photos you provided may be used to improve Bing image processing services.
Privacy Policy
|
Terms of Use
Can't use this link. Check that your link starts with 'http://' or 'https://' to try again.
Unable to process this search. Please try a different image or keywords.
Try Visual Search
Search, identify objects and text, translate, or solve problems using an image
Drag one or more images here,
upload an image
or
open camera
Drop images here to start your search
To use Visual Search, enable the camera in this browser
All
Search
Images
Inspiration
Create
Collections
Videos
Maps
News
More
Shopping
Flights
Travel
Notebook
Top suggestions for Diagonalization of a 3X3 Matrix
Self Inverse
Matrix
Skew Symmetric
Matrix Inverse
Inverse of a Matrix
Formula
Symmetric
3X3 Matrix
Linear Algebra Inverse
Matrix
Inverse Identity
Matrix
Inverse Covariance
Matrix
Inverting a
Symmetric Matrix
Inverse of Matrix
Example
Inverse of a
Square Symmetric Matrix
2 by 2 Matrix Inverse
Matrix
Inverse Properties
Matrix
Transpose Inverse
Inverse of
Non Square Matrix
Upper Triangular
Matrix
Inverse Matrix
Equation
Find Inverse
Matrix
Inversion of
Symmetric Matrix
Inverse of
Elementary Matrix
Matrix
Inverse Formulae
Inverse of a Matrix
Square D
2X2 Matrix
Inverse
Matrix
Inverse Operation
Inverse Matrix
Notation
Inverse of a
Tridiagonal Matrix
N by N
Matrix
Inverse for
Matrix
Inverse Matrix
Trick
Inverse
Symmetry
Matrix Inverse of a
Phgotograph
Non Singular
Matrix Example
Inverse Matrix
2X1
NXN Symmetric
Matrix
Finding Inverse
of Matrix Example
Portioned
Matrix
2 X 2
Matrix
Inverse of
Rotation Matrix
Inverse Function for
a Matrix
Inverse of
Rectangular Matrix
Inverse Matrix
Icon
Inverse of a
Symmetic Matrix
Non-Singular
Matrices
What Is a
Non-Singular Matrix
Idempotent Matrix
Example 2X2
Block Matrix
Inverse Formula
Inverse of a Symetric Matrix
Is Also Syemetric
Inverse of a
Large Matrix
Inverse of a
Symmmetric Matrix
Solving Symmetric
Matrix
Tikhonov Inverse
of a Matrix
Explore more searches like Diagonalization of a 3X3 Matrix
Chart
Template
Finding
Determinant
Basket
Method
Square Root
Equation
Multiplication
Cheat Sheet
What
is
Vector
Multiplication
Quadratic
Form
Basic
Example
Different
Dimensions
Dot
Product
DET-5
Invertible
Eigenvector
Cramer's
Rule
Determinant
of A
Multiplication
Formula
Square
Cross
Product
Modulus
Trace
1X3
Inv
Adjugate
For
Solve
People interested in Diagonalization of a 3X3 Matrix also searched for
Diagram
MATLAB
Random
Operation
3
Pivot
Blank
Graph
Expansion
Drawing
Scale
Autoplay all GIFs
Change autoplay and other image settings here
Autoplay all GIFs
Flip the switch to turn them on
Autoplay GIFs
Image size
All
Small
Medium
Large
Extra large
At least... *
Customized Width
x
Customized Height
px
Please enter a number for Width and Height
Color
All
Color only
Black & white
Type
All
Photograph
Clipart
Line drawing
Animated GIF
Transparent
Layout
All
Square
Wide
Tall
People
All
Just faces
Head & shoulders
Date
All
Past 24 hours
Past week
Past month
Past year
License
All
All Creative Commons
Public domain
Free to share and use
Free to share and use commercially
Free to modify, share, and use
Free to modify, share, and use commercially
Learn more
Clear filters
SafeSearch:
Moderate
Strict
Moderate (default)
Off
Filter
Self Inverse
Matrix
Skew Symmetric
Matrix Inverse
Inverse of a Matrix
Formula
Symmetric
3X3 Matrix
Linear Algebra Inverse
Matrix
Inverse Identity
Matrix
Inverse Covariance
Matrix
Inverting a
Symmetric Matrix
Inverse of Matrix
Example
Inverse of a
Square Symmetric Matrix
2 by 2 Matrix Inverse
Matrix
Inverse Properties
Matrix
Transpose Inverse
Inverse of
Non Square Matrix
Upper Triangular
Matrix
Inverse Matrix
Equation
Find Inverse
Matrix
Inversion of
Symmetric Matrix
Inverse of
Elementary Matrix
Matrix
Inverse Formulae
Inverse of a Matrix
Square D
2X2 Matrix
Inverse
Matrix
Inverse Operation
Inverse Matrix
Notation
Inverse of a
Tridiagonal Matrix
N by N
Matrix
Inverse for
Matrix
Inverse Matrix
Trick
Inverse
Symmetry
Matrix Inverse of a
Phgotograph
Non Singular
Matrix Example
Inverse Matrix
2X1
NXN Symmetric
Matrix
Finding Inverse
of Matrix Example
Portioned
Matrix
2 X 2
Matrix
Inverse of
Rotation Matrix
Inverse Function for
a Matrix
Inverse of
Rectangular Matrix
Inverse Matrix
Icon
Inverse of a
Symmetic Matrix
Non-Singular
Matrices
What Is a
Non-Singular Matrix
Idempotent Matrix
Example 2X2
Block Matrix
Inverse Formula
Inverse of a Symetric Matrix
Is Also Syemetric
Inverse of a
Large Matrix
Inverse of a
Symmmetric Matrix
Solving Symmetric
Matrix
Tikhonov Inverse
of a Matrix
336×368
statlect.com
Matrix diagonalization
695×559
fity.club
Diagonal Matrix Diagonal Matrices
674×366
fity.club
Diagonal Matrix
700×340
chegg.com
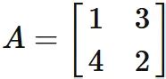
Solved Let A be a 3×3 diagonalizable matrix. In other words, | Chegg.com
Related Products
Linear Algebra Textbook
Poster
Linear Algebra T-Shirt
921×480
chegg.com
Solved Let A be a 3×3 diagonalizable matrix. In other words, | Chegg.com
700×341
chegg.com
Solved Let A be a 3×3 diagonalizable matrix. In other words, | Chegg.com
728×546
www.wikihow.com
How to Diagonalize a Matrix: Step-by-Step Guide and Exam…
460×345
www.wikihow.com
How to Diagonalize a Matrix: Step-by-Step Guide and Ex…
460×345
www.wikihow.com
How to Diagonalize a Matrix: Step-by-Step Guide and Ex…
1402×274
graphicmaths.com
GraphicMaths - Diagonalising matrices
1280×720
effectsteak33.pythonanywhere.com
Fabulous Info About How To Check If A Matrix Is Diagonalizable - Effectsteak33
Explore more searches like
Diagonalization of a
3X3 Matrix
Chart Template
Finding Determinant
Basket Method
Square Root Equation
Multiplication Cheat Sheet
What is
Vector Multiplication
Quadratic Form
Basic Example
Different Dimensions
Dot Product
DET-5
1024×538
datascienceparichay.com
How to check if a matrix is a diagonal matrix in Numpy? - Data Science Parichay
1280×1072
chegg.com
Solved 1. Give an example of a 3×3 Diagonal Matrix that i…
1078×603
chegg.com
Solved 1. Give an example of a 3×3 Diagonal Matrix that is | Chegg.com
1024×882
chegg.com
Solved HW9.5. Diagonalize a 3x3 matrix Consider a 3 x …
827×634
chegg.com
Solved HW9.5. Diagonalize a 3x3 matrix Consider a 3 x 3 | …
953×1024
chegg.com
Solved HW9.5. Diagonalize a 3x3 …
576×1024
eevibes.com
How to diagonalize a …
1188×914
askfilo.com
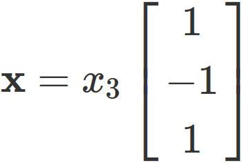
Diagonalization of the matrix A=⎣⎡ 843 −8−3−4 −2−21 ⎦⎤ | Filo
776×313
ResearchGate
1 Example of a matrix diagonalization | Download Scientific Diagram
352×236
semath.info
How to diagonalize a 3x3 matrix -- Example -- SEMATH INFO
591×418
semath.info
How to diagonalize a 3x3 matrix -- Example -- SEMATH INFO
454×228
semath.info
How to diagonalize a 3x3 matrix -- Example -- SEMATH INFO
850×563
semath.info
How to diagonalize a 3x3 matrix -- Example -- SEMATH INFO
1094×265
semath.info
How to diagonalize a 3x3 matrix -- Example -- SEMATH INFO
474×292
semath.info
How to diagonalize a 3x3 matrix -- Example -- SEMATH INFO
265×236
semath.info
How to diagonalize a 3x3 matrix -- Ex…
960×2010
semath.info
How to diagonalize a …
1000×244
semath.info
How to diagonalize a 3x3 matrix -- Example -- SEMATH INFO
People interested in
Diagonalization of a
3X3 Matrix
also searched for
Diagram
MATLAB
Random
Operation
3 Pivot
Blank
Graph
Expansion
Drawing
Scale
1280×720
upstudy.ai
How to Diagonalize a Matrix: Step-by-Step Process & Examples
552×61
semath.info
How to diagonalize a 3x3 matrix -- Example -- SEMATH INFO
566×556
semath.info
Examples of diagonalizing a matrix -- 2x2 and 3x3 -- S…
809×789
semath.info
Examples of diagonalizing a matrix -- 2x2 and 3x3 -- SE…
186×89
semath.info
Examples of diagonalizing a matrix -- 2x2 and 3x3 -- SE…
815×278
semath.info
Examples of diagonalizing a matrix -- 2x2 and 3x3 -- SEMATH INFO
Some results have been hidden because they may be inaccessible to you.
Show inaccessible results
Report an inappropriate content
Please select one of the options below.
Not Relevant
Offensive
Adult
Child Sexual Abuse
Feedback