The photos you provided may be used to improve Bing image processing services.
Privacy Policy
|
Terms of Use
Can't use this link. Check that your link starts with 'http://' or 'https://' to try again.
Unable to process this search. Please try a different image or keywords.
Try Visual Search
Search, identify objects and text, translate, or solve problems using an image
Drag one or more images here,
upload an image
or
open camera
Drop images here to start your search
To use Visual Search, enable the camera in this browser
All
Search
Images
Inspiration
Create
Collections
Videos
Maps
News
More
Shopping
Flights
Travel
Notebook
Top suggestions for Expected Value Continuous Random Variable
Expected Value
of Random Variable
Expectation of
Continuous Random Variable
Continuous Random Variable
Formula
Expected Value
for Discrete Random Variable
Contnuous
Random Variable
Calculating
Expected Value
Expected Value
of a Random Vector
Variance of a
Continuous Random Variable
Normal Distribution
Expected Value
Continuous Random Variable
Definition
Expected Value of Continuous
Uniform Distribution
Continuous Random Variable
Probability
Expected Value
of Continuous Function
Expected
Count Formula
How to Find
Expected Value of a Random Variable
Continuous Random Variable
Examples
Expected Value of Square of
Random Variable Continuous
Binomial Distribution
Expected Value
Expected Value
of Independent Random Variable
Continuous Random Variable
Graph
Expected Value
Notation
Expected Value
Formula Statistics
Mean of
Continuous Random Variable
Expected Value
Equation
Expected Value of a
Continuous Random Variable X
Continuous Random Variable
Range
Expected Value
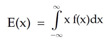
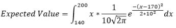
Integral
How to Calculate
Expected Value
Exponential
Random Variable
Expected Value
of X 2
Conditional Expected Value
for Continuous Random Variable
Continuous Random Variable
PPT
Finding
Expected Value
Laws of Expected Value
and Variance
Expected Value
of a CDF
Objectives of
Continuous Random Variable
Extreme
Value Continuous Random Variable
Expected Value
Rules
Expected Value
Probability Calculator
Covariance
Formula
Direct Expected Value
of Random Variable
Expected Value
of Xy
Expected Value
of Discrete Random Variable
Variance of
Continuous Random Variable
Expected Value
From PDF
Continuous
Uniform Distribution
Expected Value
of Exponential Random Variable
Expectation Value
Integral
Calculate
Expected Value
Expected Value
of a Constant
Explore more searches like Expected Value Continuous Random Variable
Problem
Solution
Probability Density
Function
Number
Line
Proportion
Formula
Probability
Distribution
Cheat
Sheet
Statistics
Definition
Bell
Curve
PDF
Function
Expected
Value
Mean-Variance
What
is
Conditional Probability
Mass Function
Theoretical
Examples
Calculate
Variance
Cumulative Distribution
Function
What Is
PDF
Give
Me
Density
Curve
When
Is
FlowChart
Normal
Curve
Probability
Model
Calculate
Mean
Mean
For
Normal Distribution
Function
Variance
Prob
For
Uniform
Distribution
Examples
Real Life
Why Is
Score
Meaning
Graph
Standard
Deviation
Table
How
Find
Compare
Discrete
Common
Model
Statistics
PDF
For
Five
Example
People interested in Expected Value Continuous Random Variable also searched for
Distribution
Function
Examples
Questions
How
Solve
Real Life
Example
Question Onmarginal
PDF
Programs
VCE
Discrete
Versus
How Find
Limit
Time
Example
Uniform
Autoplay all GIFs
Change autoplay and other image settings here
Autoplay all GIFs
Flip the switch to turn them on
Autoplay GIFs
Image size
All
Small
Medium
Large
Extra large
At least... *
Customized Width
x
Customized Height
px
Please enter a number for Width and Height
Color
All
Color only
Black & white
Type
All
Photograph
Clipart
Line drawing
Animated GIF
Transparent
Layout
All
Square
Wide
Tall
People
All
Just faces
Head & shoulders
Date
All
Past 24 hours
Past week
Past month
Past year
License
All
All Creative Commons
Public domain
Free to share and use
Free to share and use commercially
Free to modify, share, and use
Free to modify, share, and use commercially
Learn more
Clear filters
SafeSearch:
Moderate
Strict
Moderate (default)
Off
Filter
Expected Value
of Random Variable
Expectation of
Continuous Random Variable
Continuous Random Variable
Formula
Expected Value
for Discrete Random Variable
Contnuous
Random Variable
Calculating
Expected Value
Expected Value
of a Random Vector
Variance of a
Continuous Random Variable
Normal Distribution
Expected Value
Continuous Random Variable
Definition
Expected Value of Continuous
Uniform Distribution
Continuous Random Variable
Probability
Expected Value
of Continuous Function
Expected
Count Formula
How to Find
Expected Value of a Random Variable
Continuous Random Variable
Examples
Expected Value of Square of
Random Variable Continuous
Binomial Distribution
Expected Value
Expected Value
of Independent Random Variable
Continuous Random Variable
Graph
Expected Value
Notation
Expected Value
Formula Statistics
Mean of
Continuous Random Variable
Expected Value
Equation
Expected Value of a
Continuous Random Variable X
Continuous Random Variable
Range
Expected Value
Integral
How to Calculate
Expected Value
Exponential
Random Variable
Expected Value
of X 2
Conditional Expected Value
for Continuous Random Variable
Continuous Random Variable
PPT
Finding
Expected Value
Laws of Expected Value
and Variance
Expected Value
of a CDF
Objectives of
Continuous Random Variable
Extreme
Value Continuous Random Variable
Expected Value
Rules
Expected Value
Probability Calculator
Covariance
Formula
Direct Expected Value
of Random Variable
Expected Value
of Xy
Expected Value
of Discrete Random Variable
Variance of
Continuous Random Variable
Expected Value
From PDF
Continuous
Uniform Distribution
Expected Value
of Exponential Random Variable
Expectation Value
Integral
Calculate
Expected Value
Expected Value
of a Constant
768×1024
scribd.com
04 - Continuous Random Variable …
768×1024
scribd.com
4.2 Expected Value and Variance of C…
768×1024
scribd.com
Examples On Continuous Variab…
768×1024
scribd.com
Expected Value - Continuous Variab…
Related Products
Probability Density Function Of
Examples of Continuous Rando…
Mean and Variance of Continuous Rando…
600×524
learn.maplesoft.com
Expected Value: Continuous Practice Question 2
4:29
calcworkshop.com
Expected Value Variance Continuous Random Variable
4:29
calcworkshop.com
Expected Value Variance Continuous Random Variable
4:29
calcworkshop.com
Expected Value Variance Continuous Random Variable
766×404
onlinemath4all.com
Expected Value of a Continuous Random Variable
403×115
onlinemath4all.com
Expected Value of a Continuous Random Variable
357×130
onlinemath4all.com
Expected Value of a Continuous Random Variable
845×461
onlinemath4all.com
Expected Value of a Continuous Random Variable
Explore more searches like
Expected Value
Continuous Random Variable
Problem Solution
Probability Density Func
…
Number Line
Proportion Formula
Probability Distribution
Cheat Sheet
Statistics Definition
Bell Curve
PDF Function
Expected Value
Mean-Variance
What is
489×147
onlinemath4all.com
Expected Value of a Continuous Random Variable
1024×246
andymath.com
Expected Value and Variance of a Random Variable
2168×390
stats.stackexchange.com
probability - Determine expected value for continuous random variable - Cross Validated
457×202
chegg.com
Solved Exercise (3. Expected Value of Continuous Random | Chegg.com
525×700
chegg.com
Solved The expected valu…
854×374
chegg.com
Solved Expected value of a function of a continuous random | Chegg.com
1167×203
chegg.com
Solved Find the expected value of the continuous random | Chegg.com
807×166
chegg.com
Solved Find the expected value of the continuous random | Chegg.com
1098×181
chegg.com
Solved 2) Show that the expected value of a continuous | Chegg.com
1770×727
chegg.com
Solved Find the expected value of the continuous random | Chegg.com
1179×261
www.reddit.com
Expected value of continuous random variable : r/AskStatistics
5:29
study.com
Finding & Interpreting the Expected Value of a Continuous Random Variable
5:29
study.com
Finding & Interpreting the Expected Value of a Continuous Random Variable
5:29
study.com
Finding & Interpreting the Expected Value of a Continuous Random Variable
People interested in
Expected Value
Continuous Random Variable
also searched for
Distribution Function
Examples
Questions
How Solve
Real Life Example
Question Onmarginal
…
Programs
VCE
Discrete Versus
How Find Limit
Time Example
Uniform
700×419
chegg.com
Solved Expected value of a function of a continuous random | Chegg.com
960×720
slideteam.net
Expected Value Continuous Random Variable Ppt Powerpoi…
5:29
study.com
Finding & Interpreting the Expected Value of a Continuous Random Variable
862×312
chegg.com
Solved The expected values of a continuous random variable X | Chegg.com
320×240
slideshare.net
Chapter 2 continuous_random_variable_2009 | PPT
1674×1225
qerau.blogspot.com
Continuous Random Variable Calculator Online - QERAU
1280×720
fity.club
Examples On Continuous Variables Expected Value By Probability
1024×768
SlideServe
PPT - Probability Distributions Random Variables: Finite and …
1024×768
SlideServe
PPT - Probability Distributions Random Variables: Finite and Continuous Dist…
Some results have been hidden because they may be inaccessible to you.
Show inaccessible results
Report an inappropriate content
Please select one of the options below.
Not Relevant
Offensive
Adult
Child Sexual Abuse
Feedback